프로그래밍과 논리/수학
- 논리학
- 알고리즘 성능 계산법 : 시간복잡도에 대해서 계산하는 방법
논리란?
이야기의 이치, 이야기의 올바른 연결
이치 : 과정의 순서가 올바르게 연결되었다.
논리학 : 형식이 중요하다. ‘p 이면 q 이다’ 의 내용보단 형식이 중요하다.
ex) 농구
농구를 하는사람들은 키가 크다 = 근거
만약 농구를 하면 키가 커진다. False
명제란? p → q , True 또는 False로 판단할 수 있는 문장
- 우체통은 빨갛다 명제 T F
- 강사님은 잘생겼다 명제 T (’개인적인 생각’도 명제가 될 수 있음)
- 주말에 시간있으세요? 명제 X → 의문문
- 밖에 좀 나가서 운동해라 명제 X → 명령문
주장의 부정
주장을 제외한 모든 가능성을 포함하게 된다.
나는 강아지를 키운다 의 부정은 뭘까?
나는 고양이를 키운다. 나는 거북이를 키운다, 등등
오늘 강의에서 전제 2가지를 반드시 성립한다고 가정한다.
- 배중률 : True / False 무조건 중간이 없는 것
- 무조건 False는 아니다 → True
- 모순율 : True, False가 동시에 성립 하지 않는다.
- 원영이는 머리가 갈색이다.
[참고]
‘이기다’의 부정 : 이기지 않다
‘이기다’의 반대 : 지다
‘나는 친구를 좋아한다’의 부정: 좋아하지 않는다.
‘나는 친구를 좋아한다’의 반대: 싫어한다.
민철이는 제주도에 간 적이 있다 → 없다
코코는 뉴욕에 살지 않는다. → 산다
라면에는 마늘을 항상 넣어야 한다. → 하지 않다, or 가끔 넣는다 (모든 가능성을 포함한다.)
도현이는 지나치게 많이 먹는다. → 먹지 않다.

p → q
- 가정 명제가 거짓이라면 전체 명제식은 참이다
- 대우 명제가 참이면 기존 명제도 참이다.
역, 이, 대우
주장 : 강아지는 포유류이다
역 ⇒명제 1 : 포유류는 강아지다 (앞, 뒤, 순서 변경) q→ p
이 ⇒명제 2 : 이 동물이 강아지가 아니면, 포유류가 아니다. ~p → ~q
대우 ⇒명제 3 : 이 동물이 포유류가 아니면, 강아지는 아니다. ~q → ~p
대우가 참이면 주장도 참이다
논리 연습
- 만약 0이 홀수라면, 미국에서 2080년 월드컵이 열린다.
- ⇒ 가정이 거짓이다 → 전체 명제는 참
- 만약 198938261837694839이 Prime Number라면 2는 짝수이다.
⇒ 대우를 이용해서 판단 - ⇒ 2가 홀수면 == 거짓
⇒ 가정이 거짓이다 → 전체 명제는 참
진리표


기초 수식
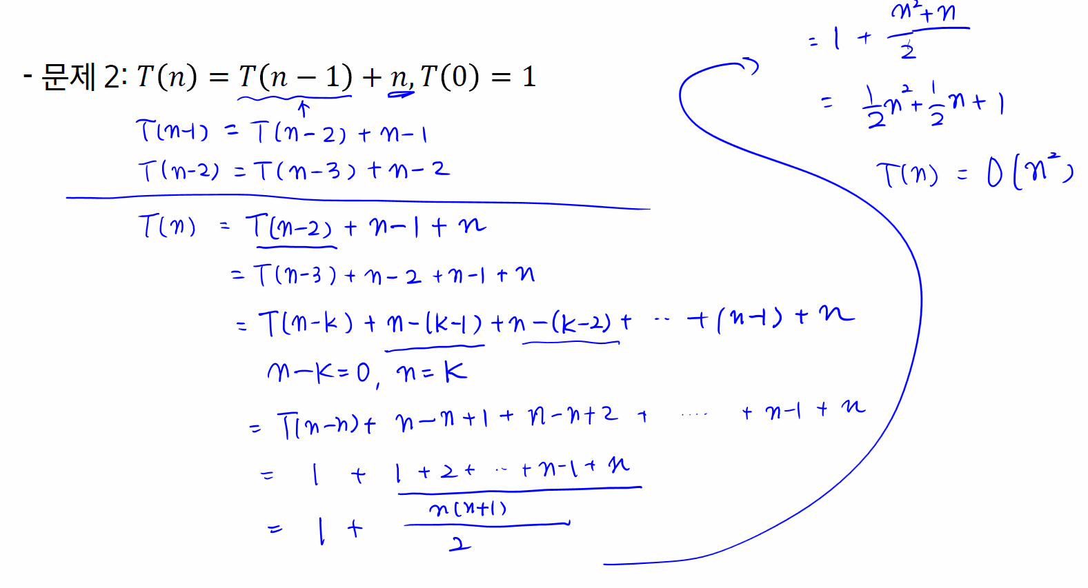
연습 문제 : 다음 연산횟수식들을 O() notation 수준으로 풀어라
⇒ 시간복잡도 계산, 빅 오 표기법으로 풀어라
문제 1 : T(n) = T(n-1) + 1 , T(0) = 1
T(n-1)= T(n-2) + 1
T(n) = T(n-2) + 1 + 1 = T(n-2) + 2
T(n-2) = T(n-3) + 1
T(n) = T(n-3) + 3 = T(n-k) + k
= T(0) + n
= n + 1
재귀식을 빅 오 표기법으로 푼 방법
O(T(n)) = O(n)


O(T(n)) = O(nlogn)

$∀$x 모든 x
$∃$x 어떤 x


'TIl' 카테고리의 다른 글
| CSS Layout (1) | 2024.03.09 |
|---|---|
| HTML, CSS (0) | 2024.03.06 |
| 부분집합, 조합, 그리디 심화 (4) | 2024.02.28 |
| 완전검색 심화 (1) | 2024.02.28 |
| Start (1) | 2024.02.26 |